Capricorn: Dec.22-Jan.29 The Sundial Primer
criado por Carl Sabanski
Capricorn: Dec.22-Jan.29

The Sundial Primer Index BR Index

Mostradores com QBASIC

BASIC é um acrônimo de "Código de Instrução Simbólica de Propósito Geral para Principiantes" e é uma linguagem de programação simples para programadores iniciantes. QuickBasic é uma linguagem de programação desenvolvida pela Microsoft e lançada em 1985 para substituir a versão anterior GW-BASIC. É ideal para principiantes por causa de comandos intuitivos, estrutura simples e flexibilidade. Existem inúmeros sites que suportam QuickBasic com tutoriais, programas e referências bibliográficas.

QBASIC é uma versão que não contém todos os recursos disponíveis no QuickBasic. Foi lançado em 1991 e veio gratuitamente com o MS-DOS 5 e versões posteriores. Também veio com os sistemas operacionais Windows 95 e 98. QBASIC é shareware, mas é limitado de várias maneiras. Alguns deles são o limite no tamanho do programa e que ele não pode ser usado para produzir arquivos executáveis. Os arquivos escritos com QBASIC devem ser executados usando o programa e ter a extensão de arquivo "bas".

Um número significativo de gnomonistas, bem como outros, usaram o QBASIC para escrever várias rotinas de mostradores e outras. Alguns destes serão apresentados em "Mostradores com QBASIC". No entanto, se você não está familiarizado com o QBASIC ou não tem o software, é por onde vamos começar. Primeiro, se você não tiver QBASIC, pode obter a Versão 1.1 selecionando o link abaixo. Ele vem em um arquivo ZIP e contém dois arquivos, o programa QBASIC "Qbasic.exe" e o arquivo de ajuda "Qbasic.hlp".

QBASIC 1.1

Eu recomendo que você crie um diretório "QBasic" no diretório raiz "C:" no seu computador. Você notará que isto facilitará a recuperação de arquivos quando quiser executá-los. Coloque o arquivo ZIP lá e extraie os dois arquivos.

QBASIC é um programa do DOS e, para usá-lo, você deve poder acessar o prompt do DOS. O prompt do DOS será encontrado em locais ligeiramente diferentes, dependendo da versão do Windows que você tenha. Primeiro, selecione "Iniciar", em seguida, "Programas" ou "Todos os programas" e "Acessórios", se necessário. Você está procurando o ícone do programa para" MS-DOS Prompt "ou" Prompt de comando". Depois de encontrá-lo, clique e a janela do DOS será aberta. Nas versões mais recentes do Windows, talvez não seja possível obter o prompt do DOS (do Windows 8 para frente), pois essas seleções não estarão mais disponíveis. Vá na Internet e procure um programa chamado "DOSBOX". É gratuito e, quando instalado, irá fornecer uma janela do DOS. Depois de encontrar o prompt do DOS, coloque-o na área de trabalho como um atalho para facilitar o acesso clicando com o botão direito do mouse no ícone do programa e, em seguida, selecione "Enviar para" e, finalmente, "Área de Trabalho ou Desktop".

A Figura 1 mostra a tela que aparecerá quando você selecionar o comando do prompt do DOS, no entanto, ele só terá "c: \ windows" na linha de comando. Maximize a janela usando o botão no canto superior direito. Se você usar o botão "Tela cheia", a janela DOS preencherá toda a tela e você não terá acesso à área de trabalho, a menos que você saia do DOS.

NOTA: Para sair da janela do Prompt do DOS, digite "Exit" e pressione a tecla "Enter" ... lembre disso.

Figure 1: DOS Prompt Window

Figura 1: Janela do Prompt do DOS

Ao trabalhar na janela do DOS, você deve digitar todos os comandos que deseja que o computador faça. Não importa se são utilizadas maiúsculas e minúsculas. O primeiro passo é chegar ao diretório onde o programa QBASIC está localizado. Se você colocou no diretório "QBasic" conforme sugerido acima, digite os comandos na Figura 1. Observe que o comando "cd" é para "alterar o diretório ou pasta" e a barra invertida "\" deve ser usada. O comando "qbasic" na última linha iniciará o programa e a tela na Figura 2 surgirá.

Figura 2: Tela Incial do QBASIC

Ao pressionar a tecla "Enter" aparecerá o "Guia de Sobrevivência" com dicas sobre o uso do arquivo QBASIC "Ajuda" e pressionando a tecla "Esc" aparecerá a tela na Figura 3. Leia o "Guia de Sobrevivência", pois é muito curto e útil. Você pode acessar os arquivos "Ajuda" daqui ou selecionando "Ajuda" no canto superior direito da tela. Qualquer um dos comandos encontrados em "Arquivo", "Editar", "Exibir", "Pesquisar", "Executar", "Depurar", "Opções" e "Ajuda" pode ser iniciado selecionando-os e clicando com o botão esquerdo do mouse. No entanto, quando nas telas "Guia de Sobrevivência" e "Ajuda", o mouse não funcionará. Coloque o ponteiro sob o item de interesse e clique com o botão esquerdo. O cursor piscando será então visto no item. Pressione "Enter" e você será levado para o item "Ajuda" que deseja ler.

Nota Importante: com certeza sua versão do QBASIC esteja apenas em inglês. Ai os comandos serão: "File", "Edit", "View", "Search", "Run", "Debug", "Options" e "Help" traduzidos acima.

Figura 3: Tela do QBASIC

Se você quiser sair e voltar ao prompt do DOS, selecione "Arquivo (File) " e "Saída (Exit)", como mostrado na Figura 4..

Figure 4: Exiting QBASIC

Figura 4: Saindo do QBASIC

Ao salvar os programas QBASIC primeiro, crie subdiretórios/subpastas no diretório/pasta. Isso ajudará a organizá-los e torná-los facilmente acessíveis. A Figura 5 mostra as telas exibidas quando o "Arquivo (File)" e "Salvar como (Save As)" ou "Abrir (Open) "serão selecionados. Todos os subdiretórios/subpastas no diretório/pasta onde o programa QBASIC reside serão mostrados. Neste caso, há um chamado"MO" e pode ser selecionado clicando nele para mostrar os arquivos "bas" que ele contém. Outras unidades podem ser selecionadas, mas o restante do caminho e do nome do arquivo deve ser digitado.

IMPORTANTE: como este é um programa do DOS, os nomes dos arquivos devem ser limitados a 8 caracteres apenas ou então o nome será truncado. Isso criará problemas, portanto não use mais de 8 caracteres.
Às vezes, a tela pode desaparecer momentaneamente. NÃO se preocupe, pois ela retornará ao normal.

Figure 5: Organizing QBASIC Files

Figura 5: Organizando os Arquivos QBASIC

Abrir um arquivo no QBASIC exibirá o conteúdo do arquivo, mas não o executará automaticamente. Leia o arquivo com cuidado, pois pode haver mudanças que precisam ser feitas para entradas de dados para que o arquivo seja personalizado e atenda às suas necessidades específicas. Para que ele seja executado, selecione "Executar (Run)" e depois "Iniciar (Start)" ou pressione a tecla "F5". Siga as instruções e o arquivo será executado e exibirá a saída em toda a tela. Para retornar à janela DOS, siga as instruções na tela ou pressione a tecla "Esc". A saída é automaticamente salva como um arquivo "txt" de texto, geralmente no diretório/pasta raiz "C:" mas leia o arquivo QBASIC para ter certeza. Mova o arquivo para o diretório/pasta do qual você está trabalhando, apenas para manter tudo juntos e mais fácil de localizar.

Se você está desconfortável com a perspectiva de trabalhar no DOS, veja a Figura 6 para uma maneira fácil de iniciar qualquer programa QBASIC. Tudo o que você precisa fazer é "arrastar e soltar". Primeiro coloque um atalho na área de trabalho clicando com o botão direito do mouse no arquivo "Qbasic.exe" e depois selecionando "Enviar para" e, finalmente, "Área de Trabalho ou Desktop". Usando "Explore" verifique em qual diretório/pasta você salvou o programa QBASIC com a extensão "bas". Clique com o botão direito e mantenha pressionado o arquivo que deseja executar. Arraste o arquivo para o ícone de atalho QBASIC (QuickBASIC) localizado na área de trabalho. A Figura 6 mostra como o atalho irá aparecer com o arquivo arrastado para ele. O atalho foi ampliado para que possa ver com maior clareza. Apenas a versão e QBASIC aparecerão com o programa aberto. Certifique-se de que o ícone mude visualmente como mostrado antes de deixar o arquivo ou tudo o que você fará é mover o arquivo para a área de trabalho. Se isso acontecer, basta "arrastar e soltar" o arquivo de volta para o diretório. Você ainda terá que executá-lo selecionando "Executar (Run)" e depois "Iniciar (Start)" ou pressionar a tecla "F5". Você também pode clicar duas vezes no atalho "QuickBASIC" em qualquer momento para iniciar o QBASIC.

Figure 6: Starting QBASIC from Windows

Figura 6: Iniciando o QBASIC pelo Windows

Se você tiver um problema com a janela do DOS ou QBASIC, chegando ao modo de tela cheia (full screen) o tempo todo, isto pode ser corrigido. A Figura 7 mostra como fazer isso com QBASIC, mas o procedimento é o mesmo para a janela do DOS. Clique com o botão direito do mouse no atalho da área de trabalho ou no arquivo do programa e selecione "Propriedades". Selecione a guia "Tela" e selecione "Janela" e, finalmente, "Aplicar". Uma janela QBASIC ou DOS agora surgirá quando qualquer uma for selecionada para ser executada. Se o modo de tela cheia retornar, volte para esta guia e verifique se ele voltou para "tela inteira" por algum motivo.

Figure 7: QBASIC Screen Size

Figura 7: Tamanho da Tela no QBASIC

A Figura 8 mostra um exemplo de um programa aberto no QBASIC. Apenas uma parte do programa é visível. Observe que o cursor está localizado abaixo do "J" na quarta linha da parte inferior. No canto inferior direito estão os números "00015: 006". O "0015" é o número da linha onde o "J" está localizado e o "006" é o número de caracteres da esquerda onde o "J" está localizado na linha. Saber como encontrar um número de linha específico é importante para conhecer as páginas QBASIC subseqüentes.

Figure 8: A Program Opened in QBASIC

Figure 8: A Program Opened in QBASIC

A programação no QBASIC está além do escopo dessas preliminares. Aqui você encontrará rotinas escritas no QBASIC e algumas explicações sobre a que elas se destinam e como usá-las. Haverá também instruções sobre como converter os arquivos "txt" de saída QBASIC em arquivos DXF que podem ser abertos em programas de CAD, como o DeltaCad. Para poder fazer isso, exigirá uma conversão escrita por Fer de Vries. Fer deu sua permissão para oferecer o programa "CONVERT" aqui. Extrai-o do seguinte arquivo ZIP.

CONVERTX

Coloque este arquivo deszipado no diretório QBASIC. Pode ser executado digitando "convertx" Na linha de comando e a tela mostrada na Figura 9 surgirá então:

Figure 9: CONVERT - Cnvxxxx.exe

Figura 9: CONVERT - CONVERTX.exe

O nome do caminho e do arquivo a ser convertido em um arquivo DXF deve ser digitado. A extensão "txt" não é necessária. Se as instruções dadas acima em relação à criação de diretórios forem seguidas, a digitação será mantida ao mínimo como pode ser visto pelo exemplo a seguir. Não esquecer que todo nome de arquivo DOS não pode exceder a 8 caracteres e sem acentos.

c:\qbasic\"sub-directory"\"filename" (em inglês)
C: \ qbasic \ "subdiretório/pasta" \ "nome do arquivo" (em português BR)

O programa criará um arquivo DXF com o mesmo nome e no diretório onde o arquivo QBASIC está localizado. Um segundo arquivo com a extensão "rlt" também será criado. Este arquivo pode ser aberto no aplicativo de desenho de relógio de sol do Fer chamado ZW2000.

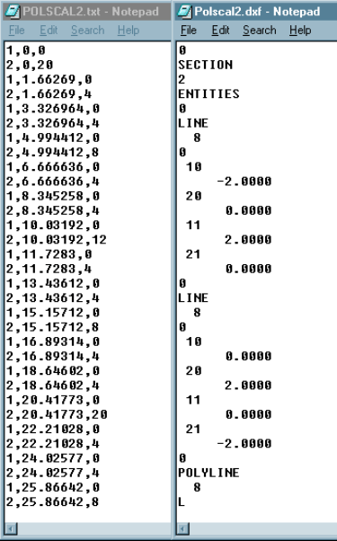
A Figura 10 mostra um exemplo de um arquivo de texto escrito pelo programa mostrado na Figura 8 e no início do arquivo DXF que é criado usando "CONVERT".
Para este pequeno arquivo de texto de 3 kb, um DXF de 13 kb é criado.

Figure 10: An Example of "CONVERT"

Figura 10: Um Exemplo do "CONVERT"

Quando o DXF for aberto, usando o aplicativo de CAD, ele desenhará duas linhas horizontais e várias linhas verticais para um relógio de sol Polar. Isso é mostrado na Figura 11. A cruz na parte superior não é parte do desenho, mas o cursor. As setas que mostram os eixos x e y são geradas pelo aplicativo CAD.

Figure 11: DXF File Opened in CAD Software

Figura 11: Arquivo DXF Aberto num Aplicativo CAD

Se você está interessado em escrever programas QBASIC, então você quer aprender a formatar o arquivo de texto para que ele possa ser convertido em um arquivo DXF usando "CONVERT". Mac Oglesby escreveu um programa chamado "TXT2DXF.bas" que cria um arquivo de texto que irá desenhar a Equação de Tempo. O arquivo de saída é chamado de "demoxx.txt" e é gravado em "c:\", além de ser exibido na tela. Você pode colocar o arquivo em outro diretório, modificando o caminho na linha 68 do programa. O arquivo de texto pode ser convertido em um arquivo DXF como descrito acima e visto em um aplicativo de CAD. O programa QBASIC, traduzido para o português-BR, bem como os arquivos de texto, DXF e "rlt", estão disponíveis aqui.

Como você pode ver, não é difícil usar os programas QBASIC e os resultados podem ser trazidos para um desenho CAD muito rapidamente e com pouca dificuldade. Confira o que está disponível aqui e você poderá encontrar algo que lhe seja útil. E, como bônus adicional, você pode praticar programação, modificando um programa para atender às suas necessidades específicas. Basta lembrar de primeiro salvar o arquivo com um nome diferente com um máximo de 8 caracteres, caso você precise começar de novo.

Mac Oglesby fez muita programação durante sua carreira e forneceu uma série de rotinas QBASIC relacionadas aos mostradores. Outros serão apresentados à medida que estiverem disponíveis. Se você tiver algumas rotinas QBASIC, envie-as se desejar que elas sejam compartilhadas aqui com outras pessoas.

Mac Oglesby

David Williams